Sinolstab® UV-783

banner

سينولستاب® UV-783

مثبت الضوء Sinolstab®

Sinolstab® UV-783 هو مزيج تآزري من HALS 944 و HALS 622. 783 هو مثبت ضوء ممتاز مع تأثير تثبيت دائم ضد الضوء والحرارة، وتقلب منخفض، ومقاومة للاستخلاص، وفعال بشكل خاص في ألياف PP، والشريط، ومنتجات LLDPE الرقيقة والسميكة، وLDPE

شارك مع

سينولستاب® UV-783

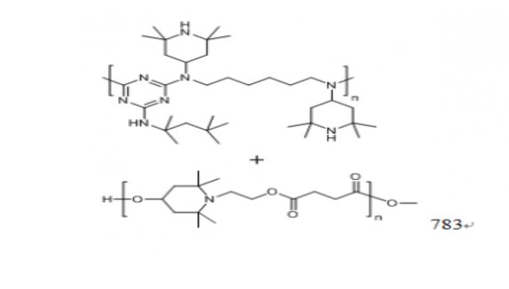
  • الاسم الكيميائي: 50% Sinolstab®UV- 944+50% Sinolstab®UV- 622؛ مثبت للأشعة فوق البنفسجية 783 (50% HALS 944+50% HALS 622)؛ مثبت للضوء UV 783

  • رقم القضية:  70624-18-9 و65447-77-0

  • الصيغة: [C35H66N8]n (n=4-5)؛ H[C15H25O4N]nOCH3

  • بناء:


طلب :

الأكياس المنسوجة، الأجهزة الكهربائية، الأفلام الوظيفية، أحزمة الري بالتنقيط، الأغشية الجغرافية، الملابس المقاومة للماء.

ملكيات :

المظهر : مسحوق أبيض أو حبيبات صفراء فاتحة

نطاق الانصهار: 55-130 درجة مئوية

المواد المتطايرة: ≤0.5%

الكثافة النسبية: 1.11 جم/سم3

نفاذية الضوء: 425 نانومتر: ≥90.0%؛ 450 نانومتر: ≥93.0%

محتوى الرماد: ≤0.1%

المواد:  PP، ABS، TPE، PE، EVA، EPDM، TPU، PA،


الذوبانية :

قابل للذوبان في الأسيتون، أسيتات الإيثيل؛ غير قابل للذوبان في الماء

الميزات ومجال التطبيق :

UV 783 هو مزيج تآزري من HALS 944 وHALS 622. يتميز 783 بمثبت ضوئي ممتاز، يتميز بتأثير تثبيتي طويل الأمد ضد الضوء والحرارة، وتقلّبه المنخفض، ومقاومته للاستخلاص، وهو فعال بشكل خاص في ألياف البولي بروبيلين، والأشرطة، ومنتجات LLDPE الرقيقة والسميكة، وLDPE.

تحذيرات: تجنب أشعة الشمس المباشرة، والرطوبة، ودرجات الحرارة المرتفعة، والمواد التي تحتوي على الكبريت أو الهالوجين، مثل بعض المثبتات، ومثبطات اللهب، والمبيدات الحشرية. يُشترط إجراء اختبار قبل الاستخدام.


التعبئة والتغليف :
  • كرتون داخلي 25 كجم مع كيس بلاستيكي أو حسب متطلبات العميل

تخزين :

يتم تخزينه في مكان بارد وجاف بعيدًا عن أشعة الشمس المباشرة.

كيف يمكننا المساعدة؟

نحن نقدم مجموعة متنوعة من الخيارات لمساعدتك في العثور على المنتج المناسب لتطبيقك

لماذا تختار سينوكيور؟

  • التطوير المخصص

    توفير دعم تحسين الصياغة للأنظمة القائمة على الماء/القائمة على المذيبات

  • الامتثال العالمي

    تغطية كاملة لمعايير REACH وFDA وGB

  • إمدادات مستقرة

    معدل تسليم في الوقت المحدد بنسبة 99.8%، وضمان قدرة إنتاجية تصل إلى 10000 طن

+86 15550440621
+8615668330235
info@sinocurechem.com
خبير الصياغة المخصص لك:
من المونومر إلى البوليمر، نقوم بتفكيك كل الإحتمالات!
©2025 مجموعة سينوكيور الكيميائية جميع الحقوق محفوظة. CNZZ