Sinolstab® UV-292

banner

Sinolstab® UV-292

Sinolstab® Light Stabilizer

SINOLSTAB® UV-292 is a low molecular weight hindered amine light stabilizer that is soluble in most common organic solvents and has better compatibility with many polymers. It has a synergistic effect with UV absorbers. It can effectively prevent the coating from cracking and surface peeling under sunlight exposure. It is more effective in automotive special coatings and has a good synergistic effect with benzotriazole UV absorbers.

شارك مع

SINOLSTAB® UV-292


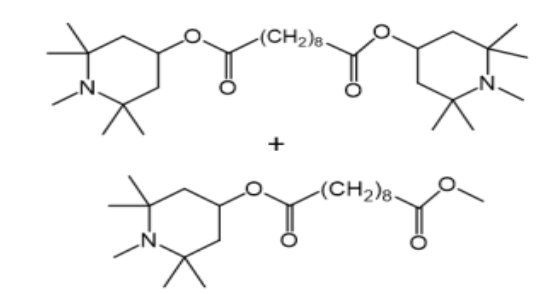
  • Chemical Name: mixture of: Bis(1,2,2,6,6- pentamethyl-4-piperidinyl)-sebacate and 1-(Methyl)- 8-(1,2,2,6,6-pentamethyl-4-piperidinyl)-sebacate

  • CAS No.:  41556-26-7 & 82919-37-7

  • Molecular Formula:C30H56N2O4 + C21H39NO4

  • Molecular Structure:

Specifications :

Appearance    Active content    Ash    Specific gravity g/ml    

Clear, colorless liquid    >=97%    <=0.10%    0.99    


Application :

SINOLSTAB® UV-292(HS-508) is a highly effective hindered amine light stabilizer (HALS). It is a liquid hindered amine light stabilizer that exhibits excellent light stability in applications such as coatings, printing inks and polyurethane paints to prevent surface popping or flaking. It is widely used for light stabilization of polypropylene, polyethylene, styrene, unsaturated polyesters, acrylic resins, vinyl polymers (PVC, PVB) including plastisols, elastomers, adhesives, sealants and coatings. It is often recommended for polyurethanes due to its solubility in polyols. SINOLSTAB® UV-292 generally has reduced interactions with co-additives such as pigments or other stabilizers. SINOLSTAB® UV-292 has strong synergy with UV absorbers from the benzotriazole family, especially when used in coatings for automotive and wooden furniture.

Packaging :
  • 25kgs or 200kgs drum.

تخزين :

Store in a dry, clean, ventilated warehouse.
Avoid exposure to light and heat.
Be careful to prevent leakage, rain and sun during transportation.



How Can We Help?

We offer a variety of options to help you find the right product for your application

WHY CHOOSE SINOCURE?

  • Customized development

    Provide formulation optimization support for water-based/solvent-based systems

  • Global compliance

    Full coverage of REACH, FDA, and GB standards

  • Stable supply

    99.8% on-time delivery rate, 10,000-ton production capacity guarantee

+86 15550440621
+8615668330235
info@sinocurechem.com
Your custom formulation expert:
from monomer to polymer, we deconstruct every possibility!
©2025 Sinocure Chemical Group All Rights Reserved. CNZZ