Sinolstab® UV-123

banner

سينولستاب® UV-123

مثبت الضوء Sinolstab®

يتميز سينولستاب® UV-123 بقلوية منخفضة، ويمكنه تجنب التفاعل مع المكونات الحمضية في الطلاء إلى حد كبير.

UV-123 هو مُثبِّت ضوء أميني مُعوَّق بالسوائل، يحتوي على مجموعات إيثر أمينية، ويُستخدم في صناعة الطلاء. يتميز هذا المنتج بقلوية منخفضة، ويمكنه تجنب التفاعل مع المكونات الحمضية في الطلاء إلى حد كبير. كما يمنع UV-123 بفعالية التشقق، وفقدان اللمعان، والتكلس، وأمراض الطلاء الأخرى، مما يزيد من عمر الطلاء.

UV-123 مناسب بشكل خاص للمواد الصلبة العالية، ودهانات السيارات المعالجة بالأحماض، والدهانات الصناعية، مثل: نظام الأكريليك الحراري ثنائي الطبقة، ودهانات الأكريليك والبوليستر أحادية الطبقة.

يمكن استخدام المنتج نفسه أيضًا في أنظمة الطلاء التالية:

· طلاء إعادة تشطيب السيارات الألكيدي/الأكريليكي المُعالَج بالهواء

· طلاء الألكيد المُعالَج بالأكسجين

· طلاءات ثنائية المكونات غير إيزوسياناتية


شارك مع

سينولستاب® يو في-123

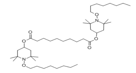
  • الاسم الكيميائي: ثنائي-(1-أوكتيلوكسي-2،2،6،6-رباعي ميثيل-4-بيبيريدينيل) سيباكات؛تينوفين 123؛تشيجارد 101؛إيفرسورب 95؛أومنيستا LS 123؛ثاسورب يو في-123؛سونسورب LS-123؛مثبت للضوء يو في-123؛مثبت للضوء إتش إس-112

  • رقم القضية:  129757-67-1

  • بناء:



نظام التطبيق :

المظهر:   سائل صافٍ أصفر فاتح.

اللزوجة (الحركية عند ٢٠ درجة مئوية): ٣٠٠٠ ميلي باسكال/
ثانية. الكثافة عند ٢٠ درجة مئوية:  ٠.٩٧ غ/سم٣.

نطاق الانصهار: ≤-30 درجة مئوية

يمكن أن يمتزج UV-123 مع معظم مذيبات الطلاء بنسبة تزيد عن 50%، وتكون قابليته للذوبان في الماء أقل من 0.01%، ولكن من السهل استحلاب UV-123 في الأنظمة القائمة على الماء.



مجال التطبيق :

طلاء السيارات، الطلاء الصناعي، الطلاء الديكوري وطلاء الخشب.

إضافة المبلغ :

طلاء السيارات والطلاء الصناعي: 0.5-2% من الأشعة فوق البنفسجية 123 + 1-3% من الأشعة فوق البنفسجية 1130 أو الأشعة فوق البنفسجية 384 أو الأشعة فوق البنفسجية 928 أو الأشعة فوق البنفسجية 400

الطلاء الديكوري وطلاء الخشب: 0.5-2% من الأشعة فوق البنفسجية 123 (يُستخدم بمفرده) أو +1-3% من الأشعة فوق البنفسجية 1130 أو الأشعة فوق البنفسجية 384


التعبئة والتغليف :
  • طبل 20 كجم، 25 كجم، 200 كجم.

تخزين :

يتم تخزينه في مكان بارد وجاف بعيدًا عن أشعة الشمس المباشرة.

كيف يمكننا المساعدة؟

نحن نقدم مجموعة متنوعة من الخيارات لمساعدتك في العثور على المنتج المناسب لتطبيقك

لماذا تختار سينوكيور؟

  • التطوير المخصص

    توفير دعم تحسين الصياغة للأنظمة القائمة على الماء/القائمة على المذيبات

  • الامتثال العالمي

    تغطية كاملة لمعايير REACH وFDA وGB

  • إمدادات مستقرة

    معدل تسليم في الوقت المحدد بنسبة 99.8%، وضمان قدرة إنتاجية تصل إلى 10000 طن

+86 15550440621
+8615668330235
info@sinocurechem.com
خبير الصياغة المخصص لك:
من المونومر إلى البوليمر، نقوم بتفكيك كل الإحتمالات!
©2025 مجموعة سينوكيور الكيميائية جميع الحقوق محفوظة. CNZZ