Sinocure® CD-2

banner

Sinocure® CD-2

Other Catalysts And Additives

The color developer (CD-2 type) is white or off-white crystalline powder. It is easy to oxidize and deepen in the air. Easily soluble in water, with a melting point of 250°C, used as a color photographic developer.

شارك مع

Sinocure® CD-2



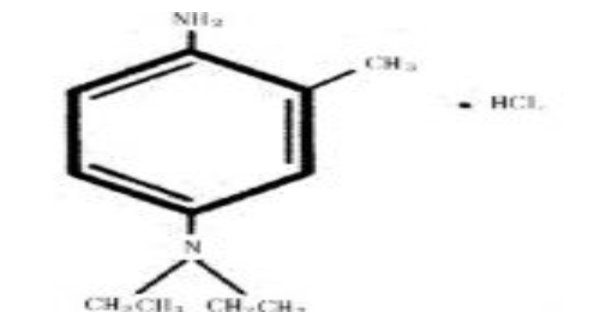
Chemical name: 4-(N-Ethyl-N-2-hydroxyethyl)-2-methylphenylenediamine sulfate;Color-developing agent CD-2

Cas No. : 2051-79-8

Molecular formula : C11H19ClN2

Molecular weight : 214.73500

Molecular structure:







Color-developing agent CD-2 Function :

Used as a high-temperature fast developer for oil-soluble color film in film and photography departments

Color-developing agent CD-2 Packaging and Shipping :
  • Packing: 25kg / drum.

  • Delivery:with in 5-7 working days.


Color-developing agent CD-2 Storage :
  • Stored in a cool dry place(2-8° C) out of direct sunlight.

How Can We Help?

We offer a variety of options to help you find the right product for your application

WHY CHOOSE SINOCURE?

  • Customized development

    Provide formulation optimization support for water-based/solvent-based systems

  • Global compliance

    Full coverage of REACH, FDA, and GB standards

  • Stable supply

    99.8% on-time delivery rate, 10,000-ton production capacity guarantee

+86 15550440621
+8615668330235
info@sinocurechem.com
Your custom formulation expert:
from monomer to polymer, we deconstruct every possibility!
©2025 Sinocure Chemical Group All Rights Reserved. CNZZ