Sinophor® BA

banner

سينوفور® بي ايه

مُبيِّت الفلورسنت سينوفور®

Sinophor®BA - خصائص الأداء:

هذا المنتج سهل الذوبان، ويتميز بمقاومة جيدة للأحماض والقلويات، كما أن تأثيره المبيض أفضل بكثير من VBL عند درجة حموضة 4.5-7. وهو أنيوني، ويمكن استخدامه مع مواد خافضة للتوتر السطحي أنيونية أو غير أيونية.

Sinophor®BA - نطاق الاستخدام:

يُستخدم بشكل رئيسي في تبييض لب الورق، وتحديد حجم السطح، والطلاء، وغيرها من العمليات. كما يُمكن استخدامه لتبييض أقمشة القطن والكتان وألياف السليلوز، وتفتيح أقمشة الألياف ذات الألوان الفاتحة.


شارك مع

سينوفور® بي ايه

  • مرادف: مُبيِّض فلورسنت ١١٣؛ عامل تفتيح فلورسنت ١١٣؛ بلانكوفور بي إيه؛ مُبيِّض بصري ١١٣

  • رقم الجرد: ١٢٧٦٨-٩٢-٢

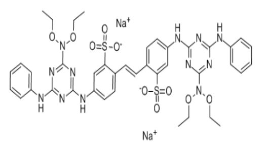
  • التركيب:

المواصفات :
أغراضمعيار
مظهرمسحوق موحد أصفر فاتح
القوة تعادل المنتج القياسي100
الظلتقريبي ~ مايكرو
رُطُوبَة، ٪≤ 5
نسبة الشوائب غير القابلة للذوبان في الماء، %≤ 0.5
النعومة (البقايا التي تمر عبر منخل 180 ميكرومتر)،٪≤ 10



المميزات والاستخدامات :
  • يُستخدم مُبيض SINOPHOR® BA بشكل رئيسي لتبييض لب الورق، وتعديل حجم السطح، والطلاء، وغيرها من العمليات. كما يُمكن استخدامه لتبييض أقمشة القطن والكتان وألياف السليلوز، وتفتيح أقمشة الألياف ذات الألوان الفاتحة.

  • في صناعة الورق، تُستخدم كمية ماء تعادل 20 ضعفًا لإذابة المادة وإضافتها إلى اللب أو الطلاء أو عامل تعديل حجم السطح. الجرعة المُعتادة هي 0.1-0.3% من اللب الجاف المُطلق أو الطلاء الجاف المُطلق.

  • عند استخدامه لتبييض ألياف القطن والقنب والسليلوز، يُضاف عامل التبييض الفلوري مباشرةً إلى حوض الصباغة ويُذاب في الماء قبل الاستخدام. الجرعة 0.08-0.3%. نسبة المُبيض: 1:20-40. درجة حرارة حوض الصباغة: 60-100 درجة مئوية.

التعبئة والتغليف :
  • 25 كجم/برميل، كرتون

تخزين :

يتم تخزينه في مكان بارد وجاف بعيدًا عن أشعة الشمس المباشرة.

كيف يمكننا المساعدة؟

نحن نقدم مجموعة متنوعة من الخيارات لمساعدتك في العثور على المنتج المناسب لتطبيقك

لماذا تختار سينوكيور؟

  • التطوير المخصص

    توفير دعم تحسين الصياغة للأنظمة القائمة على الماء/القائمة على المذيبات

  • الامتثال العالمي

    تغطية كاملة لمعايير REACH وFDA وGB

  • إمدادات مستقرة

    معدل تسليم في الوقت المحدد بنسبة 99.8%، وضمان قدرة إنتاجية تصل إلى 10000 طن

+86 15550440621
+8615668330235
info@sinocurechem.com
خبير الصياغة المخصص لك:
من المونومر إلى البوليمر، نقوم بتفكيك كل الإحتمالات!
©2025 مجموعة سينوكيور الكيميائية جميع الحقوق محفوظة. CNZZ