Sinophor® APC

banner

Sinophor® APC

Sinophor® Fluorescent Brightener

Sinophor® APC is especially suitable for whitening and brightening knitted cotton fabrics. FBA220 introduces multiple water-soluble groups in its structure, which not only has good water solubility, but also has good perspiration fastness and acid resistance. Even when the PH is 3-4, it still has a good whitening effect on cellulose fibers.

Since the whitening agent is liquid, it is not as difficult to solvent as the powdery whitening agent, and there is no dust pollution. It only needs to weigh a certain amount according to the whiteness requirement and dilute it with water in any proportion.

شارك مع

SINOPHOR® APC

● Synonym:Fluorescent Brightener 220;Fluorescent brightening agent APC;FBA220;OPTICAL BRIGHTENER 220

● Cas No.: 16470-24-9

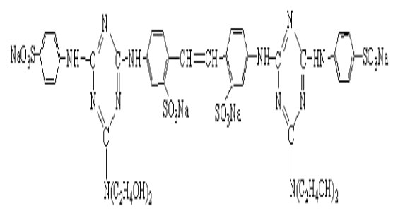
● Structure:

Spec :
ItemsStandard
AppearanceAmber transparent liquid
Fluorescence intensity (equivalent to standard product)35
Whiteness WCIE≥0
Viscosity (25℃), mPa·s≤ 50
pH value8-10
Density, g/cm31.1-1.2
IonicityAnion


Application :

1. Fluorescent whitening is carried out in the pulp.
2. Fluorescent whitening is carried out in surface sizing.
3. Fluorescent whitening is carried out during the coating process.

Instructions :

1. It can be directly added into the slurry, the conventional dosage: 0.05-1.2% (absolutely dry slurry).
2. It can be used together with commonly used starch, CMC and PVA in surface sizing to obtain a better whitening effect. The conventional dosage is 0.5-10g/L.
3. During the coating process, it can be added at any position. It will achieve better results when used with PVA, CMC, and starch. Conventional dosage: 0.1-1.4% (to the weight of the coating)

Packaging :

● 50kg, 200kg, 220kg plastic drum

تخزين :

Stored in a cool dry place out of direct sunlight.

How Can We Help?

We offer a variety of options to help you find the right product for your application

WHY CHOOSE SINOCURE?

  • Customized development

    Provide formulation optimization support for water-based/solvent-based systems

  • Global compliance

    Full coverage of REACH, FDA, and GB standards

  • Stable supply

    99.8% on-time delivery rate, 10,000-ton production capacity guarantee

+86 15550440621
+8615668330235
info@sinocurechem.com
Your custom formulation expert:
from monomer to polymer, we deconstruct every possibility!
©2025 Sinocure Chemical Group All Rights Reserved. CNZZ