SINOMER EGDMA

banner

سينومير® إي جي دي إم إيه

مونومر ثنائي الوظيفة، مونومرات سينومير® الوظيفية

SINOMER® EGDMA هو راتينج تفاعلي يستخدم كأحادي مركب وظيفي وعامل ترابط متقاطع في إنتاج البوليمر مع مؤشر لون منخفض وكثافة ترابط متقاطع عالية ومقاومة كيميائية جيدة.

شارك مع

سينومير® إي جي دي إم إيه

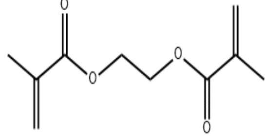
الاسم الكيميائي:  ثنائي ميثاكريلات الإيثيلين جليكول

رقم CAS:  97-90-5

الصيغة الجزيئية: C10H14O4

البنية الجزيئية:


تحديد :
مظهرسائل شفاف عديم اللون أو أصفر فاتح
اللون (Pt-Co)≤50APHA
اللزوجة عند 25 درجة مئوية1-6 سنتات في الثانية
قيمة الحمض≤0.5 ملغ KOH/جم
الرطوبة (KF)≤0.2%
مثبط MEHQ100-300 جزء في المليون
معامل الانكسار (nD25)1.452-1.455


طلب :

المواد اللاصقة والمواد المانعة للتسرب، الرخام الصناعي، تصنيع البلاستيك والمطاط، التعبئة والتغليف الكهربائية، طلاء الخشب، طلاء المعادن، المركبات، تركيب البوليمر.

التعبئة والتغليف :

● 200 لتر/برميل أو 1000 كجم/حاوية متوسطة الحجم.

تخزين :

يتم حفظها في مستودع جاف ونظيف وذو تهوية جيدة.

تجنب التعرض للضوء والحرارة.

حماية المنتج من التسرب والمطر وأشعة الشمس أثناء النقل.

كيف يمكننا المساعدة؟

نحن نقدم مجموعة متنوعة من الخيارات لمساعدتك في العثور على المنتج المناسب لتطبيقك

لماذا تختار سينوكيور؟

  • التطوير المخصص

    توفير دعم تحسين الصياغة للأنظمة القائمة على الماء/القائمة على المذيبات

  • الامتثال العالمي

    تغطية كاملة لمعايير REACH وFDA وGB

  • إمدادات مستقرة

    معدل تسليم في الوقت المحدد بنسبة 99.8%، وضمان قدرة إنتاجية تصل إلى 10000 طن

+86 15550440621
+8615668330235
info@sinocurechem.com
خبير الصياغة المخصص لك:
من المونومر إلى البوليمر، نقوم بتفكيك كل الإحتمالات!
©2025 مجموعة سينوكيور الكيميائية جميع الحقوق محفوظة. CNZZ