Sinocrsl® APE

banner

سينوكرسل® ايه بي اي

مونومر إيثر الأليل، المونومر المميز

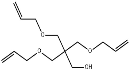
SINOCRSL® APE هو مونومر إيثر أليل ثلاثي الوظائف، مصمم لتعزيز كفاءة الترابط المتشابك في أنظمة البوليمر. بفضل احتوائه على ثلاث مجموعات أليل تفاعلية ومجموعة هيدروكسيل واحدة، يُمكّن هذا المونومر من سرعة المعالجة، وتحسين القوة الميكانيكية، وامتصاص الماء العالي في التركيبات المتقدمة.

شارك مع

سينوكرسل® أيب

الاسم المرادف: 1-(2-نفثالينيل)-N-فينيل إيثانيمين؛ 3-(أليلوكسي)-2،2-ثنائي[(أليلوكسي)ميثيل]بروبانول؛ خماسي إريثريتيل ثلاثي الأليل؛ 3-أليلوكسي-2،2-ثنائي(أليلوكسيميثيل)بروبان-1-أول؛ 3-بروب-2-إينوكسي-2،2-ثنائي(بروب-2-إينوكسيميثيل)بروبان-1-أول؛ نيوأليل P-30

رقم القضية: 1471-17-6؛ 91648-24-7

البنية الجزيئية:



المواصفات :
غرضتحديد
اللون، Pt-Co≤50
اللزوجة، ميجا باسكال.ثانية 23 درجة مئوية10~30
قيمة الهيدروكسيل، ملغKOH/جم230~260
محتوى البيروكسيد، جزء في المليون≤20
إيثر الأليل، %≥98
ثنائي الليثر، رقم كاس 2590-16-1، %≤26
Triallylether APE، Cas No 1471-17-6، %≥74


طلب :

البوليمرات فائقة الامتصاص (SAP): تُعزز احتباس الماء في المنتجات الصحية والزراعية.

الراتنجات القابلة للتصلب بالأشعة فوق البنفسجية: تُسرّع عملية التصلب في الطلاءات والأحبار والمواد اللاصقة.

البوليستر غير المشبع: يُحسّن الاستقرار الحراري لمواد العزل الكهربائي.


التعبئة والتغليف :

● التعبئة: ٢٥ كجم أو ٢٠٠ كجم/برميل.

● التخزين: يُحفظ في مكان جاف وجيد التهوية بعيدًا عن الضوء والحرارة.


كيف يمكننا المساعدة؟

نحن نقدم مجموعة متنوعة من الخيارات لمساعدتك في العثور على المنتج المناسب لتطبيقك

لماذا تختار سينوكيور؟

  • التطوير المخصص

    توفير دعم تحسين الصياغة للأنظمة القائمة على الماء/القائمة على المذيبات

  • الامتثال العالمي

    تغطية كاملة لمعايير REACH وFDA وGB

  • إمدادات مستقرة

    معدل تسليم في الوقت المحدد بنسبة 99.8%، وضمان قدرة إنتاجية تصل إلى 10000 طن

+86 15550440621
+8615668330235
info@sinocurechem.com
خبير الصياغة المخصص لك:
من المونومر إلى البوليمر، نقوم بتفكيك كل الإحتمالات!
©2025 مجموعة سينوكيور الكيميائية جميع الحقوق محفوظة. CNZZ