SIPEROX® BPO

banner

سيبروكس® BPO

بيروكسيد عضوي، بنزويل بيروكسيد، بادئ BPO، بديل Luperox A98

يُعدّ Siperox®BPO أحد أكثر مُحفّزات الجذور الحرة شيوعًا، وهو مُحفّز شائع للأكريلات، ومُحفّز مهم جدًا للستايرين وبوليمرات الستايرين المشتركة. يُمكن دمجه مع مُحفّز بيروكسي بنزوات ثلاثي بوتيل (Siperox® -TBPB) للاستخدام المُركّب. يُمكن استخدامه كعامل معالجة في درجات حرارة متوسطة ومنخفضة للبوليستر غير المُشبّع. كما أنه عامل فلكنة لمطاط الديين، وعامل تبييض دقيق مهم، وعامل إزالة لون للزيوت النباتية.

شارك مع

SIPEROX® BPO

رقم القضية: 94-36-0

الاسم الكيميائي: بنزويل بيروكسيد؛ ثنائي بنزويل بيروكسيد

مرادف: لوبيروكس A98؛ لوبيروكس A75؛ نوفيبر بي بي؛ بيركادوكس L-W75

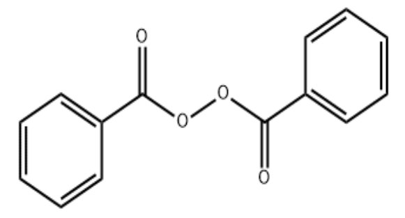
البنية الجزيئية:



مواصفة :

المظهر: مسحوق أبيض، خالٍ من الشوائب

التحليل: ٧٣.٠-٧٧.٠٪

الكلوريد الكلي على شكل كلوريد الصوديوم: ٠.٣٪ كحد أقصى

الحمض غير العضوي على شكل حمض الهيدروكلوريك: ٠.٢٪ كحد أقصى

الحمض العضوي على شكل حمض البنزويك: ٠.٥٪ كحد أقصى


الخصائص الفيزيائية :

الكثافة الظاهرية: ٦٣٠ كجم/م٣، نواتج التحلل الرئيسية

ثاني أكسيد الكربون، البنزين، حمض البنزويك

التعبئة والنقل

التغليف القياسي عبارة عن كيس بولي إيثيلين وزنه ٥ كجم، مغلف بأربعة أكياس في كل كرتونة. يتوافق كل من التغليف والنقل مع اللوائح الدولية.

يُصنف Siperox® BPO على أنه بيروكسيد عضوي من النوع C؛ صلب، القسم ٥.٢، UN ٣١٠٤، PG II.


طلب :

(1). يُعدّ بيروكسيد البنزويل محفزًا ممتازًا لعملية بلمرة الجذور الحرة، ويُستخدم في إنتاج البوليسترين، وكلوريد البولي فينيل، والميثاكريلات، وفي الربط المتشابك لراتنجات البوليستر غير المشبعة.

(2). يعتمد نشاطه التحفيزي على عدة عوامل مختلفة، بما في ذلك نوع المونومر، ودرجة الحرارة، ووجود أو عدم وجود مُسرّعات أو مثبطات.


التعبئة والتغليف :

معبأة في كرتون 20 كجم، كل صندوق يحتوي على 4 أكياس بلاستيكية × 5 كجم

تخزين :

١. يجب تجنب تعرض هذا المنتج لدرجات حرارة عالية أو لهب مكشوف. قد يُنتج خلائط متفجرة عند خلطه مع عوامل الاختزال والمسرعات والكبريت والفوسفور.

٢. يجب تخزين المنتج في مستودع خاص، بارد وجاف وجيد التهوية، مع ضبط درجة حرارة المستودع بين -٣٠ و٤٠ درجة مئوية.

٣. يُحفظ بعيدًا عن مصادر الحرارة واللهب المكشوف، ويُمنع خلطه مع أي أجسام غريبة أخرى.

٤. عند التحميل والتفريغ، يُرجى التحميل والتفريغ برفق والابتعاد عن مصادر الحرارة.


كيف يمكننا المساعدة؟

نحن نقدم مجموعة متنوعة من الخيارات لمساعدتك في العثور على المنتج المناسب لتطبيقك

لماذا تختار سينوكيور؟

  • التطوير المخصص

    توفير دعم تحسين الصياغة للأنظمة القائمة على الماء/القائمة على المذيبات

  • الامتثال العالمي

    تغطية كاملة لمعايير REACH وFDA وGB

  • إمدادات مستقرة

    معدل تسليم في الوقت المحدد بنسبة 99.8%، وضمان قدرة إنتاجية تصل إلى 10000 طن

+86 15550440621
+8615668330235
info@sinocurechem.com
خبير الصياغة المخصص لك:
من المونومر إلى البوليمر، نقوم بتفكيك كل الإحتمالات!
©2025 مجموعة سينوكيور الكيميائية جميع الحقوق محفوظة. CNZZ