SINOMER GPTA

banner

Sinomer® GPTA (Reach √)

Reach covered Trifunctional monomer,glyceryl propoxy triacrylate,GPTA monomer, Sartomer 9020 alternative

Sinomer® GPTA ( G3POTA ) is used in a very wide range of energy curing printing inks,overprint varnishes,coatings and adhesives.

Properties:

Fast cure response

Good chemical resistance

Good hardness

Good wetting properties

شارك مع

SINOMER® GPTA ( REACH Covered)

Cas No.:52408-84-1

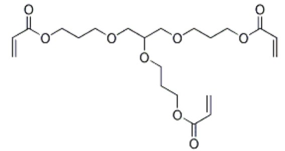
Chemical name:GLYCERYL PROPOXY TRIACRYLATE

Synonym: Ebecryl 53;Setalux 2250;Sartomer 9020;gpta monomer;AgiSyn 2837;G3POTA Propoxylated glycerol triacrylate;3-[2,3-bis(3-prop-2-enoyloxypropoxy)propoxy]propyl prop-2-enoate

Molecular structure:


Standard :
Functionality3
AppearanceTransparent liquid
Polymerization inhibitor, ppm≤400 MEHQ
Moisture, wt.%0.2
Acid value, mgKOH/g-0.5
Color, APHA100
Density , 25℃1.08~1.11
Viscosity , CPS.25℃70~110
Refractive index1.461
Surface Tension, dynes/cm36.1
Tg,℃18


طلب :

Wood coatings, PVC coatings, plastic coatings, metal coatings, offset printing inks, flexographic printing, screen printing, varnish.adhesives.

Packaging and Shipping :

● Packing:25kg/drum or 200 kg/drum 

● Delivery:with in 5-7 working days.

تخزين :

Being kept in dry, clean warehouse with well ventilation.

Avoid exposing to light and heating.

Protecting the product from leakage, rain and insolation during transportation.


How Can We Help?

We offer a variety of options to help you find the right product for your application

WHY CHOOSE SINOCURE?

  • Customized development

    Provide formulation optimization support for water-based/solvent-based systems

  • Global compliance

    Full coverage of REACH, FDA, and GB standards

  • Stable supply

    99.8% on-time delivery rate, 10,000-ton production capacity guarantee

+86 15550440621
+8615668330235
info@sinocurechem.com
Your custom formulation expert:
from monomer to polymer, we deconstruct every possibility!
©2025 Sinocure Chemical Group All Rights Reserved. CNZZ