SINOMER® BMPT

banner

سينومير® BMPT

المونومر المميز، مركبات بولي ثيول/بوليمركابتان/ثيول، المونومرات الوظيفية سينومير®

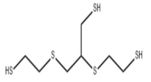
SINOMER® BMPT، الاسم الكيميائي هو 2،3-bis((2-mercaptoethyl)thio)-1-propanethiol؛ 1،2-Bis[(2-mercaptoethyl)thio]-3-mercaptopropane؛ وهو عبارة عن مونومر بولي ثيول، يستخدم عادة في الطلاءات فوق البنفسجية والمواد اللاصقة والعدسات البصرية.

لمزيد من التفاصيل حول منتجات البوليثيول لدينا، يرجى النقر على: عامل معالجة راتنج الإيبوكسي الأول من نوعه لدرجات الحرارة المنخفضة والمعالجة السريعة/بوليمركابتان/


شارك مع

سينومير® بي إم بي تي

رقم CAS: 131538-00-6

الاسم الكيميائي:

2,3-ثنائي((2-ميركابتوإيثيل)ثيو)-1-بروبانثيول؛ 1,2-ثنائي[(2-ميركابتوإيثيل)ثيو]-3-ميركابتوبروبان

المرادفات: ثيوكيور دي إم بي تي؛ بوليثيول دي إم بي تي؛ ميركابتان دي إم بي تي؛ بوليمركابتان

البنية الجزيئية:


معيار :
مظهرسائل شفاف عديم اللون
معامل الانكسار، 20ND1.6300~1.6350
محتوى الماء، جزء في المليون≤500
لون APHA≤8


سمات :

• مؤشر انكسار عالي، ودقة عالية، ومعامل آبي عالي، ومقاومة قوية للصدمات
• خفيف الوزن للغاية ورقيق، وذو خاصية صبغ جيدة، ويمكن استخدامه في تصميم العدسات التقدمية الدقيقة

Applications :
  • 1.67 HRI مونومر عدسات النظارات

  • عنصر عدسة بصرية HRI

  • غراء الأشعة فوق البنفسجية للعدسات البصرية الدقيقة



منتجات أخرى ذات صلة بالبوليثيول/بوليمركابتان :
اسم المنتجرقم القضيةالاسم الكيميائيالمرادفات/التطبيق
▶سينومر® PETMP7575-23-7خماسي إريثريتول تتراكيس (3-ميركابتوبروبيونات)ثيوكيور بيتمب؛


PET-3-MP؛رباعي (3-مركابتوبروبيونات)

▶سينومر® BMES3570-55-6ثنائي (2-ميركابتوإيثيل) كبريتيد؛


ثنائي إيثيل كبريتيد ثنائي ميركابتو؛

2,2'-ثيوديثانيثيول؛

ثيوكيور دي إم دي إس؛


بوليثيول دي إم دي إس

▶سينومر® بي إم بي تي131538-00-62,3-ثنائي((2-ميركابتوإيثيل)ثيو)-1-بروبانثيولثيوكيور دي إم بي تي؛


بولي ثيول دي إم بي تي

▶سينومر® PM83972244-98-5بولي[أوكسي (ميثيل-1،2-إيثاندييل)]، ألفا-هيدرو-أوميغا-هيدروكسي-، إيثر مع 2،2-ثنائي (هيدروكسي ميثيل)-1،3-بروبانديول (4:1)، إيثر 2-هيدروكسي-3-ميركابتوبروبيلعامل معالجة الايبوكسي، Capcure 3-800؛


جابيبرو GPM-800؛

بوليثيول QE-340M؛

ثيوكور 1200

▶سينومر® TMPMP33007-83-9ثلاثي ميثيلول بروبان تريس (3-ميركابتوبروبيونات)/
▶سينومر®OM835
188829-97-2ثنائي (ثيران-2-يل ميثيل) سلفان؛ 1،1'-ثيوبيس (2،3-إبيثيوبروبان)؛ ثنائي (2،3-إيثيل بروبيل) كبريتيدمونومر بصري ذو معامل انكسار مرتفع
▶سينومر® OM26539667-72-6حمض 2-بروبينويك، إستر 2-(2-بنزوثيازوليلثيو)إيثيل؛(2-(2-بنزوثيازوليلثيو)إيثيل)أكريلات؛MBTAمونومر بصري ذو معامل انكسار مرتفع 
▶سينومر® OM258 97049-32-0أكريلات 2-نفثالينيل ثيوإيثيل؛ حمض 2-بروبينويك 2-(2-نفثالينيل ثيو)إيثيل إستر؛ NTEAمونومر بصري ذو معامل انكسار مرتفع 
▶سينومر® OM386129283-82-5ثنائي (4-ميثاكريلويل ثيوفينيل) كبريتيد؛ 4،4'-ثيوديبنزينيديثيول ثنائي ميثاكريلاتمونومر بصري ذو معامل انكسار مرتفع
▶سينومر® بيتما10193-99-4خماسي إريثريتول تتراكيس (2-مركابتواسيتات)عامل اقتران
▶سينومر® EGDMP22504-50-3إيثيلين جليكول ثنائي (3-مركابتوبروبيونات)عامل الربط المتقاطع، عامل المعالجة
▶سينومر® جي دي إم إيه123-81-9غليكول ثنائي ميركابتوأسيتيت؛ إيثيلين ثنائي (S-ثيوأسيتات)مثبت الحرارة من مادة PVC 
▶سينومر® إي إتش إم بي50448-95-82-إيثيل هكسيل 3-ميركابتوبروبيونات مثبت الكبريت والقصدير
▶سينومر® GMT8030618-84-9مونوثيوجليكولات الجلسرينالمواد الكيميائية اليومية


التغليف :
  • التعبئة: 30 كجم/برميل أو 250 كجم/برميل 

  • التسليم: خلال 5-7 أيام عمل.


تخزين :

يتم حفظها في مستودع جاف ونظيف وذو تهوية جيدة.

تجنب التعرض للضوء والحرارة.

حماية المنتج من التسرب والمطر وأشعة الشمس أثناء النقل.


كيف يمكننا المساعدة؟

نحن نقدم مجموعة متنوعة من الخيارات لمساعدتك في العثور على المنتج المناسب لتطبيقك

لماذا تختار سينوكيور؟

  • التطوير المخصص

    توفير دعم تحسين الصياغة للأنظمة القائمة على الماء/القائمة على المذيبات

  • الامتثال العالمي

    تغطية كاملة لمعايير REACH وFDA وGB

  • إمدادات مستقرة

    معدل تسليم في الوقت المحدد بنسبة 99.8%، وضمان قدرة إنتاجية تصل إلى 10000 طن

+86 15550440621
+8615668330235
info@sinocurechem.com
خبير الصياغة المخصص لك:
من المونومر إلى البوليمر، نقوم بتفكيك كل الإحتمالات!
©2025 مجموعة سينوكيور الكيميائية جميع الحقوق محفوظة. CNZZ