Sinanox® 1135

banner

Sinanox® 1135

Sinanox® Antioxidant

Sinanox® 1135 shows excellent antioxidation as wells as pump-transport convenience. With lowvolatility and outstanding compatibility it shows especially good effect during the process of forced air cooling of PU. This function can also prevent surface fogging of auto parts and fabric’s coloring (e.g.: furniture, carpet etc.). The low volatility and liquid state make it especially suitable under the condition of liquid, latex, suspension, solution or melting polymerization and processing. It can be added before, in the middle of or after polymerization.

شارك مع

Sinanox® 1135


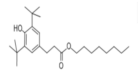
  • Chemical Name:Antioxidant 1135; Octyl-3,5-di-tert-butyl-4-hydroxy-hydrocinnamate

  • CAS:125643-61-0

  • Formula:C25H42O3

  • MW:390.6

  • Structure:

Specifications :
ItemStandard
AppearanceColorless or Canary Liquid
Acidity≤1.0 mgKOH/g
Solubilityclear
Color, (Pt-Co) No.≤100
Purity (%)≥98
Moisture (%)≤0.10


Application :

It is an excellent antioxidant for various polymers. For PU soft-foam rubber plateit can prevent polybasic alcohol from creating peroxide during storage period and prevent scorch  during the process of froth. Used in lubricant oil, it could improve the thermal stability.

Packaging :
  • Zinc galvanizing iron drums of 180 kilos each.

Capacity :

10 tons per month.

تخزين :

Stored in a cool dry place out of direct sunlight.



How Can We Help?

We offer a variety of options to help you find the right product for your application

WHY CHOOSE SINOCURE?

  • Customized development

    Provide formulation optimization support for water-based/solvent-based systems

  • Global compliance

    Full coverage of REACH, FDA, and GB standards

  • Stable supply

    99.8% on-time delivery rate, 10,000-ton production capacity guarantee

+86 15550440621
+8615668330235
info@sinocurechem.com
Your custom formulation expert:
from monomer to polymer, we deconstruct every possibility!
©2025 Sinocure Chemical Group All Rights Reserved. CNZZ